Announcement

Collapse
No announcement yet.

Do you have any objects poked into your body?

Collapse
X
 
  • Filter
  • Time
  • Show
Clear All
new posts

  • #46


    I've suddenly changed my opinion about tattoos... I'll put Bayes' Theorem on my chest and have pi in a thousand decimals tattooed on my back!

    (not)
    Civilization II: maps, guides, links, scenarios, patches and utilities (+ Civ2Tech and CivEngineer)

    Comment


    • #47
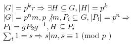
      Originally posted by KrazyHorse
      here's how it's written on me
      Link doesnt seem to work, but I assume you have a non-texty version on you. What'll you do 20 years down the line when you realize (prove) that it's a bunch of crap.
      We need seperate human-only games for MP/PBEM that dont include the over-simplifications required to have a good AI
      If any man be thirsty, let him come unto me and drink. Vampire 7:37
      Just one old soldiers opinion. E Tenebris Lux. Pax quaeritur bello.

      Comment


      • #48
        link doesn't work? It's an attachment. Do you not have pdf reader on your computer?
        12-17-10 Mohamed Bouazizi NEVER FORGET
        Stadtluft Macht Frei
        Killing it is the new killing it
        Ultima Ratio Regum

        Comment


        • #49
          got a needle thru my spines and nerves ones to tap brainfluid....


          oh wait this is about piercings....

          have a tattoo
          Bunnies!
          Welcome to the DBTSverse!
          God, Allah, boedha, siva, the stars, tealeaves and the palm of you hand. If you are so desperately looking for something to believe in GO FIND A MIRROR
          'Space05us is just a stupid nice guy' - Space05us

          Comment


          • #50
            Yes, but it doesnt wanna do anything with it. This PC is severly limited by the security concerns of the uni so that may explain it. Downloading just gives me the html link.
            We need seperate human-only games for MP/PBEM that dont include the over-simplifications required to have a good AI
            If any man be thirsty, let him come unto me and drink. Vampire 7:37
            Just one old soldiers opinion. E Tenebris Lux. Pax quaeritur bello.

            Comment


            • #51
              I just had a funny thought of some undergrad with theorums tattoo'd all over as cheat sheets LOL
              We need seperate human-only games for MP/PBEM that dont include the over-simplifications required to have a good AI
              If any man be thirsty, let him come unto me and drink. Vampire 7:37
              Just one old soldiers opinion. E Tenebris Lux. Pax quaeritur bello.

              Comment


              • #52
                Originally posted by SpencerH
                Yes, but it doesnt wanna do anything with it. This PC is severly limited by the security concerns of the uni so that may explain it. Downloading just gives me the html link.
                Attached Files
                12-17-10 Mohamed Bouazizi NEVER FORGET
                Stadtluft Macht Frei
                Killing it is the new killing it
                Ultima Ratio Regum

                Comment


                • #53
                  Originally posted by Mercator


                  I've suddenly changed my opinion about tattoos... I'll put Bayes' Theorem on my chest and have pi in a thousand decimals tattooed on my back!

                  I'm having the Gaelic edition of James Joyce's 'Ulysses' with the reader's notes tattooed on my penis.

                  Just after the Farsi version of 'A La Recherche du Temps Perdu' (large print for the visually impaired).
                  Last edited by molly bloom; April 5, 2005, 10:18.
                  Vive la liberte. Noor Inayat Khan, Dachau.

                  ...patriotism is not enough. I must have no hatred or bitterness towards anyone. Edith Cavell, 1915

                  Comment


                  • #54
                    Bunnies!
                    Welcome to the DBTSverse!
                    God, Allah, boedha, siva, the stars, tealeaves and the palm of you hand. If you are so desperately looking for something to believe in GO FIND A MIRROR
                    'Space05us is just a stupid nice guy' - Space05us

                    Comment


                    • #55
                      did azazel just change his name to az?


                      YEAHHHHGGHHH!

                      I thought that I might as well make it official.


                      KH: That's an... interesting tatoo... . Still seems kinda texty.
                      urgh.NSFW

                      Comment


                      • #56
                        Originally posted by Az


                        Still seems kinda texty.

                        Isn't that a Rod Stewart song- ' D'Ya Think I'm Texty? '


                        Or am I thinking of the Beatles- 'When I'm Texty Sore' ?

                        Pierced Brosnan has the most body ornaments of any James Bond actor.

                        Tattoo- Herve Villechaize- was in fact not a person of restricted growth, but simply body ornamentation on a much bigger actor's elephantiasis stricken body.


                        Pin Diddy has the most piercings of any rap/hip-hop/R'N'B star.
                        Vive la liberte. Noor Inayat Khan, Dachau.

                        ...patriotism is not enough. I must have no hatred or bitterness towards anyone. Edith Cavell, 1915

                        Comment


                        • #57
                          So what is it about that theorem that made you want to get it as a tattoo, KrazyHorse?

                          Originally posted by molly bloom
                          I'm having the Gaelic edition of James Joyce's 'Ulysses' with the reader's notes tattooed on my penis.

                          Just after the Farsi version of 'A La Recherche du Temps Perdu' (large print for the visually impaired).
                          Well, at least that'll give your partner something to read while...
                          Civilization II: maps, guides, links, scenarios, patches and utilities (+ Civ2Tech and CivEngineer)

                          Comment


                          • #58
                            Don't mind small piercings in relatively normal (ears/nose) places on girls. Similar with small tattoos. Don't like lip or tongue piercings, they make me uncomfortable in a variety of ways.

                            As for men, i think plain old is probably best, though I have a half Maori mate who did look good with upper arm tribal sleeves (and got the ladies with it).

                            Comment


                            • #59
                              I have an earring and a tonguestud that are deliberate. In 1976, someone poked a pencil lead into my left palm, and you can still see it.
                              Christianity: The belief that a cosmic Jewish Zombie who was his own father can make you live forever if you symbolically eat his flesh and telepathically tell him you accept him as your master, so he can remove an evil force from your soul that is present in humanity because a rib-woman was convinced by a talking snake to eat from a magical tree...

                              Comment

                              Working...
                              X